| 索引号: | 621026nyncj000/20250815-00074 | 发布机构: | |
| 生效日期: | 2025-07-24 | 废止日期: | |
| 文 号: | 所属主题: | 乡村振兴 |
关于2025年宁县“监测户”规模种植增收项目第一批奖补资金情况的公示
根据宁县农业农村局《关于印发〈2025年宁县“监测户”规模种植增收项目实施方案〉的通知》(宁农发〔2025〕51号)文件精神,对全县规模种植10亩以上粮油等作物的“监测户”(脱贫不稳定户、突发严重困难户、边缘易致贫户)每户补助1000元。县农技中心按照方案要求,组织人员对8个乡镇符合条件的426户“监测户”进行了核查验收,经核实,符合条件的“监测户”共计426户,奖补资金42.6万元。
经2025年7月24日支委扩大会议研究,对符合条件的“监测户”进行奖补。现将奖补情况进行公示(详见附件),接受社会各界监督。
公示时间为2025年7月25日至7月29日(共5天)。
受理方式:对公示对象如有异议,请在公示期内,通过来电、来信或直接向宁县农技中心反映,如无异议,公示期满后补助资金将予以兑付。
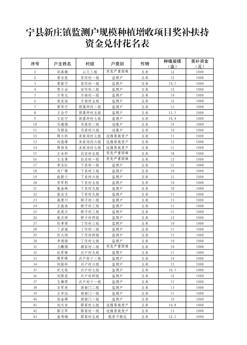
附:2025年宁县“监测户”规模种植增收项目奖补扶资金兑付花名表
受理电话:0934-6622081
受理邮箱:nxnjzx@163.com








账号+密码登录
手机+密码登录
手机免密登录
还没有账号?
立即注册